Format Minit Mesyuarat Yang Betul Pendidik2u
Contoh Minit Mesyuarat Mudah Dan Lengkap Jawatan Kosong
Up7 I Minit Mesyuarat Dan Laras Laporan Kns1063 Studocu
Pdf Format Penulisan Minit Mesyuarat Intan Nurashiqin Academia Edu
Minit Mesyuarat Pengurusan Dan Pentadbiran Bil 1 2019 Pages 1 13 Text Version Anyflip
Contoh Minit Mesyuarat Contoh My
Format Baharu Minit Mesyuarat
Doc Contoh Format Minit Mesyuarat Wawa Wawa Academia Edu
Bkp 304 Mesyuarat Menyediakan Minit Mesyuarat
Cara Buat Minit Mesyuarat Yang Betul
10 Best Contoh Minit Images In 2020 Weekly Calendar Planner Skin Center Daily Weekly Planner
Panduan Pengendalian Mesyuarat
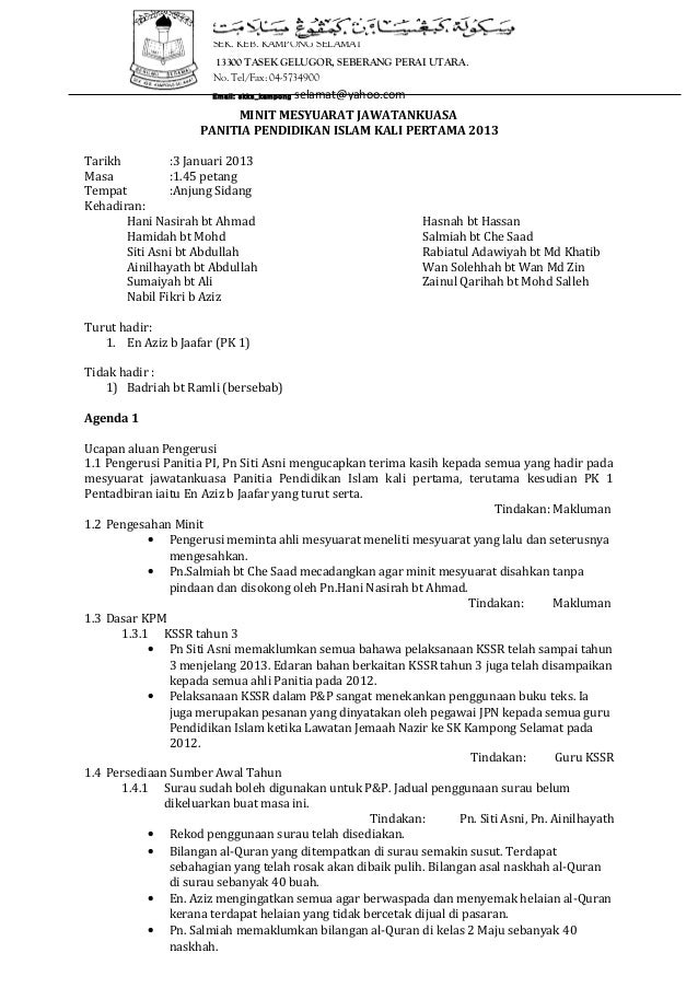
Minit Mesyuarat Pi1
Panduan Terkini Menulis Minit Mesyuarat Khabar Malaysia
Cara Setting Format Minit Mesyuarat Private Class Computer
Contoh Minit Mesyuarat Kali Kedua Wall Ppx